
As codebases grow to millions of lines of code, can AI agents still understand, reason, and code effectively? LoCoBench-Agent delivers the answer: a comprehensive benchmark for evaluating AI coding assistants across contexts ranging from 10K to 1M tokens, a 100× increase in scale.
Introduction: The Scale Challenge in AI-Powered Development
Imagine asking your AI coding assistant to debug an authentication issue in a microservices architecture with 500,000 lines of code spread across 80 files. Or implementing a new feature that requires instant mastery of architectural patterns hidden within a million-line enterprise codebase.
These aren’t hypothetical scenarios, they are everyday realities in modern software development. Yet most AI benchmarks only test models on small, isolated tasks: write a single function, fix a bug in one file. Real software engineering operates at a massively different scale.
The critical question for enterprises: Do AI coding assistants maintain their effectiveness as codebase size scales 100×? At Salesforce AI Research, we built LoCoBench-Agent to put that to the test..
Why Long-Context Coding Matters for Enterprise
The reality is this:
– 10K tokens (~3,000 lines): A small Python service
– 100K tokens (~30,000 lines): A medium web application
– 500K tokens (~150,000 lines): A complex microservices system
– 1M tokens (~300,000 lines): An enterprise-scale codebase
As context grows, AI assistants face mounting challenges: surfacing relevant code from millions of tokens, focusing on critical patterns, and maintaining consistency across long-running conversations. . For businesses scaling their AI investment understanding these limitations is critical.
The bottom line: If your AI assistant can’t scale with your codebase, it remains a toy rather than a tool.
Introducing LoCoBench-Agent: Testing AI at Enterprise Scale


LoCoBench-Agent evaluates AI coding assistants on what matters most:realistic, long-context tasks:
8,000 Long-Context Coding Scenarios Across 10 Languages
We test across 10 programming languages (Python, JavaScript, Java, C++, and more) on tasks developers actually do: debugging complex issues, implementing new features, refactoring code across multiple files, and conducting security audits. Every scenario requires understanding context spread across large codebases, not isolated functions.
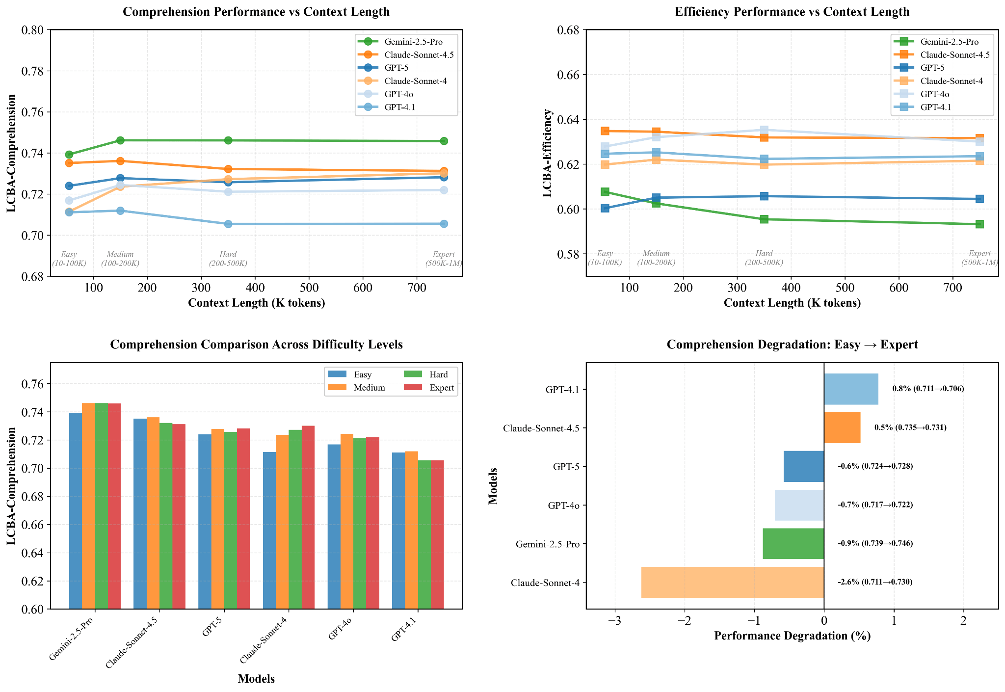
Four Difficulty Levels = Four Context Scales
– Easy (10-50K tokens): Small services, focused tasks
– Medium (50-200K tokens): Multi-module applications
– Hard (200-500K tokens): Large systems, complex architectures
– Expert (500K-1M tokens): Enterprise codebases with intricate dependencies
This systematic scaling reveals precisely how AI performance changes as codebases grow.
Multi-Turn Long-Context Conversations (Up to 50 Turns)

Real coding isn’t a single interaction. It’s exploration (turns 1-10), analysis (11-25), implementation (26-40), and validation (41-50). At each turn, we measure: Can the AI still remember context from earlier? Does it maintain understanding across the entire codebase?
What We Learned: Insights for Enterprise Leaders
1. The Comprehension-Efficiency Trade-Off

We discovered a fundamental tension in large codebases: thorough understanding requires extensive exploration (reading many files, tracing dependencies), which takes time. But speed requires targeted, strategic work, risking missed context.
Business impact: No current AI architecture resolves this trade-off. When evaluating AI coding tools, ask: Does your use case need deep understanding or fast execution? You may not get both.
2. Context Window Size ≠ Coding Ability

Bigger context windows (1M tokens) don’t automatically mean better performance. A well-designed AI with intelligent memory management can outperform a larger model without it.
Business impact: Don’t just look at vendor specs. Architectural sophistication matters more than raw capacity. Some models with 128K windows outperform 1M-window models through smarter context management.
3. Strategic Exploration Beats Exhaustive Reading

Effective AIs use semantic search to identify relevant modules first, then selectively read critical files. Ineffective ones try to read everything upfront, impossible in 500K+ token codebases.
Business impact: When your codebase exceeds 100K tokens, AI exploration strategy determines success. Models using smart strategies achieve comparable understanding with 5-6% better efficiency, critical for large-scale deployments.
What This Means for Your Enterprise
As your codebases grow and AI coding assistants become critical infrastructure, understanding their limitations at scale is essential:
1. Evaluate at your scale: Test AI tools on codebases similar to yours in size and complexity. Performance on small benchmarks doesn’t predict enterprise performance.
2. Context management matters: Prioritize tools with intelligent memory management over those with just large context windows.
3. Monitor efficiency: Track conversation lengths and redundant operations. Efficient AI tools solve problems in fewer turns.
4. Plan for limitations: Current AI assistants struggle with multi-session development and massive codebases. Design your workflows accordingly.
5. Strategic over exhaustive: Choose AI tools that use semantic search and targeted exploration rather than brute-force file reading.
The Future of AI-Powered Development
As enterprises increasingly rely on AI coding assistants, the ability to understand and contribute to 100K, 500K, or 1M-line codebases becomes paramount. LoCoBench-Agent provides the rigorous evaluation framework needed to assess these capabilities, not just final outcomes, but how AI tools explore, reason, and maintain comprehension as context scales 100×.
The future of software engineering involves AI that can truly navigate massive enterprise codebases. With LoCoBench-Agent, we’re ensuring that the future is built on evidence, not assumptions.
Because when it comes to real-world software engineering, scale matters.
Get Started with LoCoBench-Agent
LoCoBench-Agent is open-source and ready for researchers and developers:📄 Read the Paper: https://arxiv.org/pdf/2511.13998
💻 Explore on GitHub: https://github.com/SalesforceAIResearch/LoCoBench-Agent












